Çözümler
Horse Construction, teknik destekler, dokümantasyon destekleri, ürün destekleri, yazılım destekleri, proje destekleri ile tam bir yapısal güçlendirme malzemesi yelpazesi sunar.
CFRP Güçlendirme Takviye Hesaplama Yöntemi

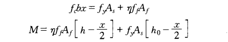
1) Bükme altında güçlendirilmiş.
Esme üyelerinin taşıma kapasitesinin hesaplanması konusundaki mevcut ulusal standart "Beton Yapıların Tasarımı için Özellikler"in temel varsayımlarına ek olarak, kiriş ve levha üyelerini güçlendirmek için karbon lif kullanırken taşıma kapasitesinin hesaplanması da aşağıdaki gereksinimleri karşılamalıdır:
a. Üye, esneme yük taşıma kapasitesinin nihai durumuna ulaştığında, karbon lifin çekme gerilimi, kesim geriliminin düz kalması varsayımına göre belirlenir, ancak karbon lifin izin verilen çekme gerilimini aşmamalıdır;
b. İkincil kuvvetin etkisini göz önünde bulundururken, betonun gerilim bölgesinin kenarındaki ilk gerginliği, takviye sırasında yük koşuluna ve kesim gerginliğinin düz kalması varsayımına dayanarak hesaplanmalıdır;
c. Karbon lifin çekme gerilimi, karbon lifin elastik modülüsü ve çekme geriliminin ürünü olmalıdır;
d. Esme taşıma kapasitesinin nihai durumuna ulaşmadan önce, karbon lif ve beton arasında hiçbir bağlantı soyma arızası meydana gelmez.
CFRP demirli betonun sınır arızası olduğunda, yani arıza oluştuğunda, beton kırıldığında ve CFRP aynı anda çekildiğinde, hesaplama için aşağıdaki formül kullanılabilir:

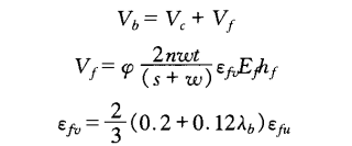
2) Kesme ile güçlendirilmiş.
Beton kiriş kesmede güçlendirildiğinde, eğik bölümün kesme kapasitesi aşağıdaki formüle göre hesaplanmalıdır:

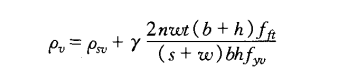
3) Sütunun sesmik takviyesi.
CFRP yapıştırmanın kapalı bir yöntemi kullanılmalıdır. Sütun uç süpürü yoğunlaştırma bölgesinin toplam dönüştürülmüş hacim süpürü oranı aşağıdaki formüle göre hesaplanmalıdır ve sütun uç süpürü yoğunlaştırma bölgesinin hacim süpürü oranı için mevcut GB50010 beton yapı tasarım kodunun gereksinimlerini karşılamalıdır.

Burada ihtiyacınız olan her şeyi bulabilirsiniz. Bu ürünleri denemeye güvenin, sonra büyük bir fark göreceksiniz.
Horse Construction'ın karbon fiberi, binalar, köprüler, otoyollar, demiryolları, tüneller, iskeleler ve sivil havaalanlarındaki beton, duvarcılık, çelik ve ahşap alt tabakaların yapısal güçlendirilmesi, onarımı ve yenilenmesi içindir.
At karbon fiber takviyeli polimer (CFRP) laminat, HM-120CP epoksi ile dışarıdan takviye olarak yapıya bağlanan önceden kürlenmiş kompozit laminatlardır.
Horse Construction'ın karbon fiberi, binalar, köprüler, otoyollar, demiryolları, tüneller, iskeleler ve sivil havaalanlarındaki beton, duvarcılık, çelik ve ahşap alt tabakaların yapısal güçlendirilmesi, onarımı ve yenilenmesi içindir.